Earlier this week, the Assistant Village Idiot tagged me in one of his link roundups:
Off With Her Hair Women tell attractive women to cut their hair. The study’s authors are all female. I wonder what it is like for women studying female intrasexual competition. Is it harder to get along, or easier? Bethany, you need to get in on researching the women who research women.
I’ll admit I got a kick out of this, in part because I love a good gender study, and in part because I have REALLY long hair. I mostly wear it up, but it’s the kind of hair that people actually say “whoa, I had no idea it was that long” if I take it down. I call it homeschool hair. The last time I wore it down for an extended period of time, someone (who I knew) stopped me and asked if she could take a picture of it. I have no particular attachment to this style, but I actually don’t like haircuts, so here we are.
I hadn’t yet had a chance to dive in to the study, when a Tweet popped up on a similar topic:

It actually came to my attention because a few people immediately pointed out that these women were in a no win situation: if they’d told their coworker “she looked like shit” they would be considered catty, but if they tell her it looks good they are intrasexually competitive. Additionally, they were coworkers of hers, not friends, and it’s pretty weird to expect that all women at all moments must be aiding every other woman they know with her appearance. I suppose there’s an option where they could have tried to be pleasant but not endorse the haircut, but that’s a very hard tone to hit correctly and honestly? I’ve also seen plenty of male coworkers say things “looked great” when other males came in proud of some new thing they did/purchased/whatever. Why start conflict with a coworker for no reason?
All of this prompted me to deep dive in to this study, to see what they found. Ready? Let’s go!
Study Set Up
So the basic set up of the study is that 200ish (mostly college aged) women were recruited for a series of two studies. In both, they had a series of female faces cropped to the shoulders like this:

The women studied were supposed to suggest how many centimeters (they were Australian) they were supposed to cut off. They were given the picture of the woman, an assessment of the hair’s condition and then how much hair the woman was comfortable cutting off. Those last two were a binary: hair condition was either good/damaged and the requested length of cut was either as much as needed/as little as possible. After that they asked women to rank themselves on a few different scales, including one that measured intrasexual competitiveness.
What’s intrasexual competitiveness you might ask? Well, it’s apparently a 12 question measure that asks you stuff about how you feel about those of your gender who might be better than you on some level. The questions they mention are things like asking you to agree/disagree with statements like “I just don’t like very ambitious women” or “I tend to look for negative characteristics in attractive women”. Highly intrasexually competitive women are those who answer that they strongly agree with questions like that.
They hypothesized that women who scored high on this scale might be more aggressive with their recommendations to other women about how much hair the should cut off, under the idea that men like long hair and this would be sabotaging other women who might be competitors to them. And to be honest, this sounds like a pretty plausible hypothesis to me! These are women who just answered a bunch of questions reiterating that they really didn’t particularly like other women, I would imagine they’d actually end up being meaner to other women than people who disagreed with those statements. It reminded me of someone who recently pointed this out about introvert/extravert tests: they will ask a bunch of people if they like big groups of people, and then you call those who said “no” introverts, then we declare that we found introverts don’t really like parties. I mean, that makes sense! But it does at times seem like most of the sorting already took place before we even got to the study itself. But I digress, let’s keep going.
The Findings
Ok, so the first thing that caught my eye is that the primary finding of the study is that all women, regardless of scale ranking, first and foremost based their haircut recommendations on two things:
- The condition of the woman’s hair (those with damaged hair were told to get more cut off)
- The hypothetical client’s stated preference (it was followed).
So to be clear, it was found that even women who stated they didn’t much like other women primarily based their recommendations on what was best for the other woman and what they other woman wanted. And it wasn’t even close. Every other effect we are going to talk about was much smaller both in absolute value and in statistical significance. Here’s the graph:

To orient you, the top panel is the recommendations for healthy hair, the bottom is the recommendations for unhealthy hair. As you can see, in general the difference in recommendations based on that condition alone is quite large, around the 2cm (a bit under inch for us USA folks) range for all conditions. The second biggest impact was what women wanted, which made a difference of about 1-1.5cm in the recommendations. Then we get to everything else.
It’s important to note that despite how this topic often gets introduced, there was no significant effect found based on attractiveness in general. This is notable because like the Tweet above shows, this stuff is often portrayed in popular culture as something “women” do, and we don’t have much proof that it is! They did find an attractiveness effect for the women with healthy hair being judged by regular and highly competitive women, but it went the opposite way: it was actually unattractive women who got the recommendation to cut off more hair. And again, the difference was a fraction of the impact of the other two factors: somewhere between .1-.2cm. For those of us in the US, that’s less than 1/10 of an inch. A quick Google suggests that’s less than a weeks worth of hair growth, and certainly not enough for anyone to notice.
I think it’s good to hammer on this because if I told you someone was out to sabotage you, you might be worried. But if I told you someone was out to sabotage you but they’d first do what was best for you, then follow what you wanted, then would sabotage you so subtly it would be imperceptible to the naked eye…..well, you’d probably calm down substantially. Much like when we see studies like “eating eggs will double your risk of heart disease in your 50s (from .001 to .002 per thousand)”, we need to be careful when we are quoting results like this that find a near imperceptible difference that can be fixed with 5 days of regularly hair growth.
But back to the finding that attractive women didn’t actually get penalized and instead the slight increase in hair cut recommendation was aimed the other direction, the study authors conclude the following:
This suggests that appearance advice may act as a vector for intrasexual competition, and that such competition (in this scenario at least) tends to be projected downward to less attractive competitors.
I will admit that annoyed me a bit, because this means that ANY variation is now considered to prove the thesis. They stated this was ok because there was no active “mate threat”, so they would expect it to go this way, but I will point out if attractive women had been penalized it would have also been considered proof. Having just finished our series on the replication crisis, I will point out that explaining every finding as proving your original thesis is a big driver of non-replicated findings.
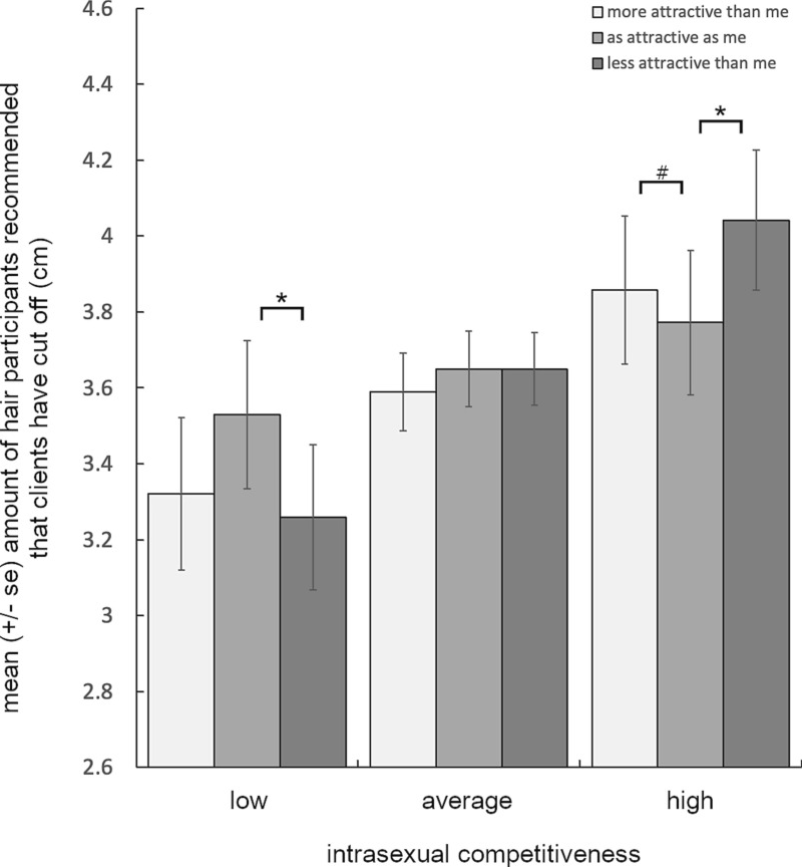
Moving on to the second study though, the study authors did a few really smart changes to their set up. First, they provided participants with a picture of a ruler and a credit card up front so they’d actually have a reminder of what different lengths meant. They also changed from using a text box for the answers to “how much hair would you recommend they cut off” to using a Likert scale type set up where you had to recommend a whole number 1-10 cm. I liked that these changes were there because it showed a good faith effort to improve the results. In this condition, they added faces that were considered “average” to the mix and repeated most of the same experiment.
The findings were similar. The biggest variations were based on hair damage and client wishes, with relatively small differences .1-.2cm appearing across different individual groups. The graph that got the headline though is this one:

This is the graph they used for the title of the study, and it comes from dropping the whole clients wishes/hair damage thing and just looking at the overall amount of hair these women suggested be removed for anyone. You will note again the variation across attractiveness levels is .1-.2cm, but indeed the “high” intrasexual competitiveness women recommend more than the other two groups. The highest recommendation is about .8cm higher than the lowest value. That’s about 1/3 of an inch. Not enough for you to visually notice, but still something.
What caught my eye though was that we only really saw variation with the high and low group, which got me wondering how many women were in each category. And that’s where I found something interesting. In the first study, they defined “high” and “low” intrasexual competitiveness as being 1 SD from the mean. Assuming a normal distribution, that would mean about 16% of the sample were in the high/low groups, and the remaining 68% were in the average group. For this study though, they changed it to 1.5 SD, which means a little less than 7% of the group are in the high/low groups. Given the sample size of around 250, we’re looking at about 17 people in both the high and low group (34 people total) and 216 or so in the average group. By itself that will lead to higher variation in the groups with smaller sample sizes. You will note there is very little variation in what the group with most of the participants answered.
My thoughts
So like I said at the beginning, I find this study’s conclusion fairly plausible. The idea that women who specifically state they don’t like other women will give other women worse advice just kind of makes sense. But a few thoughts:
- The main findings weren’t mentioned. The title and gist of this study was presented as “intrasexually competitive women advise other women to cut more hair off”, but it could just as easily have been “intrasexually competitive women primarily take other women’s best interest and preferences in to account” and it would be just as (if not more) accurate. The extra hair cut is presented as a primary driver of haircut recommendations, but really it’s in a distant third to the other two. This is fine for academic research, but if you’re trying to talk about how this applies to real life, it’s probably good to note that women actually gave quite reasonable advice, with slight variation around the edges.
- The absolute value was never discussed. I was curious if the authors would bring up the small absolute findings as part of their discussion, and alas, they did not. The AVI let me know he found the link in Rob Henderson’s post here, and I was amused to find this line one paragraph before his discussion of this study: This is why reproductive suppression is primarily a female phenomenon. Of course, there have been cases of male suppression (e.g., eunuchs). Or men raiding a village and simply slaughtering all of the males and abducting the women as wives and concubines. But suppression among women is subtler. If by subtler you mean 2mm of extra hair, then yes. If I had to pick between that and murder and castration, I admit I’m feeling women got the better end of the deal here. If you would keep eating eggs (or whatever other food) that was associated with a tiny increase in cancer, then you probably can’t take this hair cutting study as a good sign of intrasexual competition. How are women sabotaging other women if they are doing so at a level most men wouldn’t notice? I suspect there’s an assumption this effect is magnified in real life, but again, this study doesn’t prove that.
- Motives are assumed. Much like in the critiques of the Tweet above, I noticed that through the paper the authors explained why targeting attractive women, average women and unattractive women would all be intrasexual competition. What I did not see was any attempt to consider non-intrasexual competition reasons. Maybe people suggest unattractive people cut more hair off because they think they should try a different look? Maybe scoring high on a intrasexual competition survey is an indication of aggressiveness, and aggressiveness correlates to more aggressive hair cutting? Unclear, but I will note the idea that all variances could only be explained by intrasexual competition surprised me, particularly when we’re discussing effects that are likely too subtle to be spotted by the opposite sex.
- We don’t know this is a female only phenomena. Despite Rob Henderson’s claim above, you will be unsurprised to hear no one (that I could find) has ever done this study on men. I actually would have been interested to see that study, even if it was men making suggestions for female hair. One reason I’d like to see this is because I heavily suspect men would be somewhat more erratic in their rankings, which would actually increase the risk of spurious findings. Frankly, that would amuse me to watch people have to explain why their statistically significant findings were still meaningful, or to have to admit sometimes that just happens and it doesn’t mean anything at all. But still, we’re told constantly that “subtle” sabotage is a woman thing, but I actually couldn’t find any studies suggesting people were looking at this. Might be interesting.
Ok, well that’s all I have! Thanks for reading, and I’m going to go consider cutting my hair an amount no one will notice, just for fun.
This was so much fun to read
LikeLike
The joke in your title is etymologically correct, BTW. The word “shit” is probably a descendant of a Germanic verb “to snip.”
LikeLike
Interesting! I actually asked ChatGPT for title suggestions and this was a slightly edited version of one it said was “Bethany-coded”, which felt like it was getting to know me a little too well.
LikeLike